Probability Trees | Independent & Dependent Events — what are they and how do they work?
A-Level Mathematics
Probability Trees | Independent & Dependent Events — what are they and how do they work?
4:39
Complement Rule in Probability | Why one minus P(A) works — and why it’s faster
A-Level Mathematics
Complement Rule in Probability | Why one minus P(A) works — and why it’s faster
2:45
Why do we multiply probabilities? | Visual explanation with area models
A-Level Mathematics
Why do we multiply probabilities? | Visual explanation with area models
2:50
Solving Exponential Equations (Introduction)
A-Level Mathematics
Solving Exponential Equations (Introduction)
3:07
Where Does This Rule Come From? 🪵
A-Level Mathematics
Where Does This Rule Come From? 🪵
1:30
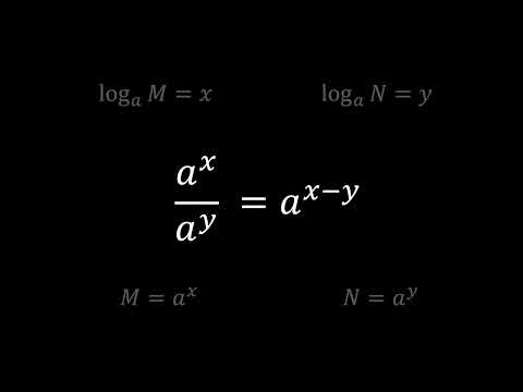
Where does this come from?
A-Level Mathematics
Where does this come from?
1:30
Changing Base of Logarithm 🪵
A-Level Mathematics
Changing Base of Logarithm 🪵
1:59
What is a Logarithm? 🪵
A-Level Mathematics
What is a Logarithm? 🪵
3:03
How Derivatives Connect Displacement, Velocity and Acceleration
A-Level Mathematics
How Derivatives Connect Displacement, Velocity and Acceleration
2:47
Finding Increasing and Decreasing Points using Differentiation
A-Level Mathematics
Finding Increasing and Decreasing Points using Differentiation
1:20
Differentiation | finding stationary points 🧑‍🎓 #alevelmaths #maths #calculus
A-Level Mathematics
Differentiation | finding stationary points 🧑‍🎓 #alevelmaths #maths #calculus
1:25
Finding Stationary Points
A-Level Mathematics
Finding Stationary Points
1:25
Finding Tangents Using Differentiation
A-Level Mathematics
Finding Tangents Using Differentiation
1:23
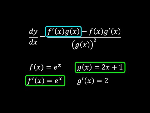
The Quotient Rule
A-Level Mathematics
The Quotient Rule
2:01
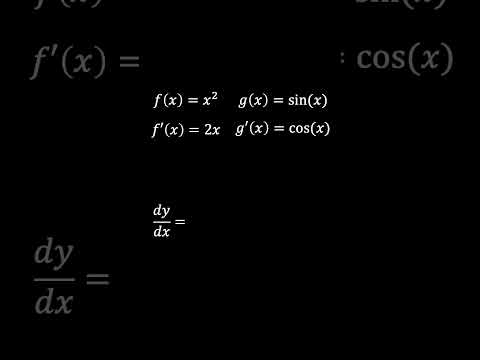
What is the Product Rule & Where Does it Come From?
A-Level Mathematics
What is the Product Rule & Where Does it Come From?
2:51
The Chain Rule (Differentiation)
A-Level Mathematics
The Chain Rule (Differentiation)
1:44
What is a Limit? (Introduction)
A-Level Mathematics
What is a Limit? (Introduction)
2:17
Solving Basic Trigonometric Equations
A-Level Mathematics
Solving Basic Trigonometric Equations
2:57
Deriving the formula to find the area of a sector in radians 🤨 #maths #trigonometry #circles
A-Level Mathematics
Deriving the formula to find the area of a sector in radians 🤨 #maths #trigonometry #circles
1:17
Deriving the Formula for the Area of a Sector
A-Level Mathematics
Deriving the Formula for the Area of a Sector
1:17
Deriving the Arclength of a Sector Formula (Radians)
A-Level Mathematics
Deriving the Arclength of a Sector Formula (Radians)
1:03
How to Derive the Cotangent and Secant Identities from the Pythagorean Identity
A-Level Mathematics
How to Derive the Cotangent and Secant Identities from the Pythagorean Identity
1:56
sin² θ + cos² θ = 1 🤨 Why❓
A-Level Mathematics
sin² θ + cos² θ = 1 🤨 Why❓
1:19
Trigonometry | What is a Radian? 🤓#trigonometry #geometry #radians #alevelmaths
A-Level Mathematics
Trigonometry | What is a Radian? 🤓#trigonometry #geometry #radians #alevelmaths
0:33
What Is a Radian? ⭕️ Quick Animated Explainer
A-Level Mathematics
What Is a Radian? ⭕️ Quick Animated Explainer
0:33
Solve for A... 🫡
A-Level Mathematics
Solve for A... 🫡
1:12
What is Differentiation? 📈
A-Level Mathematics
What is Differentiation? 📈
3:43
The Shoelace Formula 👟  (Find the Area of a Triangle given Coordinates)
A-Level Mathematics
The Shoelace Formula 👟 (Find the Area of a Triangle given Coordinates)
1:53
Where does the arclength formula come from? 💭
A-Level Mathematics
Where does the arclength formula come from? 💭
1:39
What Is Integration? 🤔
A-Level Mathematics
What Is Integration? 🤔
5:36
What is integration? This video explains the concept of integration #calculus #integration
A-Level Mathematics
What is integration? This video explains the concept of integration #calculus #integration
0:44
This A-Level Circles Question Stumps Most Students - Can You Solve It?
A-Level Mathematics
This A-Level Circles Question Stumps Most Students - Can You Solve It?
2:39
A-Level Maths  🎓 integration by substitution worked with example 🙌 #alevelmaths #integration
A-Level Mathematics
A-Level Maths 🎓 integration by substitution worked with example 🙌 #alevelmaths #integration
0:40
Can you A-Level Maths Students use geometric properties and coordinate geometry to solve the angle🧐
A-Level Mathematics
Can you A-Level Maths Students use geometric properties and coordinate geometry to solve the angle🧐
0:49
A-Level Maths Differentiation by the chain rule and using Log Laws 🪵 #calculus #apcalculus #maths
A-Level Mathematics
A-Level Maths Differentiation by the chain rule and using Log Laws 🪵 #calculus #apcalculus #maths
0:25
A-Level Maths 🎓 Volume of Revolution #calculusmadeeasy #integration #learnmath
A-Level Mathematics
A-Level Maths 🎓 Volume of Revolution #calculusmadeeasy #integration #learnmath
1:01
Find the Angle (Level: HARD) 🤯
A-Level Mathematics
Find the Angle (Level: HARD) 🤯
4:00
Can you solve this A-Level Maths Differential Equation? 🧐
A-Level Mathematics
Can you solve this A-Level Maths Differential Equation? 🧐
1:16
What Happens If You Differentiate a Song?
A-Level Mathematics
What Happens If You Differentiate a Song?
2:12
Integration by Substitution (Worked Example) ✅
A-Level Mathematics
Integration by Substitution (Worked Example) ✅
0:47
A Simple Thing That A-Level Maths Students Forget 🥲
A-Level Mathematics
A Simple Thing That A-Level Maths Students Forget 🥲
0:54
A-Level Maths 🧮 Finding stationary points using the quotient rule of differentiation 🎓 #calculus
A-Level Mathematics
A-Level Maths 🧮 Finding stationary points using the quotient rule of differentiation 🎓 #calculus
1:01
Trigonometry 🆚 Integration
A-Level Mathematics
Trigonometry 🆚 Integration
1:34
Differentiating eˣ (Proof) 🧐
A-Level Mathematics
Differentiating eˣ (Proof) 🧐
1:53
A-level Further Maths & Degree Level Maths: solving a first order differential equation #maths 
A-Level Mathematics
A-level Further Maths & Degree Level Maths: solving a first order differential equation #maths 
0:50
A-level mathematics: geometric sequences 🧮 #Mathematics #Sequences #GeometricSequences
A-Level Mathematics
A-level mathematics: geometric sequences 🧮 #Mathematics #Sequences #GeometricSequences
0:54
Great solution to Math Olympiad question from @doingmaths3142 YouTube Channel 🙌 #matholympiad
A-Level Mathematics
Great solution to Math Olympiad question from @doingmaths3142 YouTube Channel 🙌 #matholympiad
1:01
A-level maths: simplifying trigonometric functions using double angle identities #alevelmaths
A-Level Mathematics
A-level maths: simplifying trigonometric functions using double angle identities #alevelmaths
0:26
A-Level Further Maths: Roots of Polynomials 🎓 #alevelfurthermaths #furthermaths #polynomials
A-Level Mathematics
A-Level Further Maths: Roots of Polynomials 🎓 #alevelfurthermaths #furthermaths #polynomials
0:49
What is the infinite sum of this geometric series? #Calculus #Summation #Mathematics
A-Level Mathematics
What is the infinite sum of this geometric series? #Calculus #Summation #Mathematics
0:44
The easy way to remember your trigonometric derivatives… 🛞 #Calculus #Trigonometry #maths
A-Level Mathematics
The easy way to remember your trigonometric derivatives… 🛞 #Calculus #Trigonometry #maths
0:21
Could you win this gameshow? 🤨🏆
A-Level Mathematics
Could you win this gameshow? 🤨🏆
1:37
25 June 2024
A-Level Mathematics
25 June 2024
0:39
Forces on a Slope ⛷️#physics #maths #mechanics
A-Level Mathematics
Forces on a Slope ⛷️#physics #maths #mechanics
0:18
The Birthday Paradox… Explained 🎓 #maths #paradox #probability
A-Level Mathematics
The Birthday Paradox… Explained 🎓 #maths #paradox #probability
0:50
A-Level Further Maths: Integration using Complete the Square 🙌 #integral #integration #maths
A-Level Mathematics
A-Level Further Maths: Integration using Complete the Square 🙌 #integral #integration #maths
1:00
Solving a second order differential equation #calculus #differentialequation #maths
A-Level Mathematics
Solving a second order differential equation #calculus #differentialequation #maths
0:44
#integration #definiteintegral #maths #mathanimation #calculus #physics
A-Level Mathematics
#integration #definiteintegral #maths #mathanimation #calculus #physics
0:34
Solving a definite integral #integral #calculus #mathematics
A-Level Mathematics
Solving a definite integral #integral #calculus #mathematics
0:34
Visual proof of complete the square or vertex form method #maths #visualization #completethesquare
A-Level Mathematics
Visual proof of complete the square or vertex form method #maths #visualization #completethesquare
0:26
Where does the formula to calculate the area of circle come from? #maths #visualization #circle
A-Level Mathematics
Where does the formula to calculate the area of circle come from? #maths #visualization #circle
0:35
A-Level Mechanics: Pegs and Pulley Systems 🎓 #maths #mechanics #engineering #physics #mathanimation
A-Level Mathematics
A-Level Mechanics: Pegs and Pulley Systems 🎓 #maths #mechanics #engineering #physics #mathanimation
0:52
An A-Level Maths Challenge Integral... 🤨
A-Level Mathematics
An A-Level Maths Challenge Integral... 🤨
0:55
But why? 🤔
A-Level Mathematics
But why? 🤔
0:55
An A-Level Maths Integral Students Struggled With 😬
A-Level Mathematics
An A-Level Maths Integral Students Struggled With 😬
1:04
The A-Level Further Maths Question That Nobody Got...
A-Level Mathematics
The A-Level Further Maths Question That Nobody Got...
2:05
What is Differentiation?
A-Level Mathematics
What is Differentiation?
1:30
A-level Maths 🎓 trigonometric identities 🤔 #Mathematics #Trigonometry #alevelmath
A-Level Mathematics
A-level Maths 🎓 trigonometric identities 🤔 #Mathematics #Trigonometry #alevelmath
0:27
Modelling with Differential Equations - Bacteria Growth
A-Level Mathematics
Modelling with Differential Equations - Bacteria Growth
1:29
Constructing and Solving a Differential Equation Numerically
A-Level Mathematics
Constructing and Solving a Differential Equation Numerically
1:49
Deriving the Pythagorean Theorem ◣
A-Level Mathematics
Deriving the Pythagorean Theorem ◣
0:44
Differentiation: Optimising a Fish Tank
A-Level Mathematics
Differentiation: Optimising a Fish Tank
1:44
Optimising a Soda Can using A-Level Maths 💪
A-Level Mathematics
Optimising a Soda Can using A-Level Maths 💪
2:14
Further Mechanics/Physics: 2D Inelastic Collisions #math #alevelmaths #alevelphysics #mathematics
A-Level Mathematics
Further Mechanics/Physics: 2D Inelastic Collisions #math #alevelmaths #alevelphysics #mathematics
0:37
Differentiation: The Product Rule #mathematics  #schoolmath #shorts #calculus #differentiation
A-Level Mathematics
Differentiation: The Product Rule #mathematics #schoolmath #shorts #calculus #differentiation
0:24