Math Antics - Intro To Exponents (aka Indices)

mathantics

Math Antics - Intro To Exponents (aka Indices)

7 years ago - 10:05

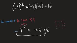
Algebra Basics: Laws Of Exponents - Math Antics

mathantics

Algebra Basics: Laws Of Exponents - Math Antics

5 years ago - 13:46

Exponent Basics

Learnalgebra Org

Exponent Basics

8 years ago - 2:22

10.1.1 - Exponent Basics

David Honda

10.1.1 - Exponent Basics

MULTIPLICATION - REPEATED ADDITION ...

9 years ago - 1:42

Exponent Basics

Mrs. Tiffany Tessier

Exponent Basics

5 years ago - 11:22

Exponent Basics.MOV

Mike Buboltz

Exponent Basics.MOV

13 years ago - 12:21

Section 1 Exponent Basics

Stacy Wall

Section 1 Exponent Basics

1 year ago - 8:27

A1  Exponent Basics

Dr. B Advanced Math

A1 Exponent Basics

3 years ago - 17:36

exponent basics

Daniel Kopsas

exponent basics

Intro ...

13 years ago - 4:55

Exponent basics

GED tutor

Exponent basics

8 years ago - 6:48

Exponent Basics

Gretchen Brown

Exponent Basics

4 years ago - 6:45

Exponent Basics

Natalie DeBaldo

Exponent Basics

The Base and the Exponent ...

8 years ago - 10:24

Algebra 1 Exponent Basics Video

Mortvedt's Mathy Videos

Algebra 1 Exponent Basics Video

8 years ago - 13:18

Exponent Basics

SATMathtv

Exponent Basics

5 months ago - 7:06

Introduction to Exponents

The Organic Chemistry Tutor

Introduction to Exponents

8 years ago - 10:33

9Rational Exponent Basics

Valerie Pond Math

9Rational Exponent Basics

12 years ago - 8:29

Exponent Basics

Micki Whitacre

Exponent Basics

5 years ago - 1:55

Exponent Basics: What is the Base and Exponent? | Quick Math Quiz | BrainyBuzz Math #mathshorts

BrainyBuzz Math

Exponent Basics: What is the Base and Exponent? | Quick Math Quiz | BrainyBuzz Math #mathshorts

5 months ago - 0:06

48. Exponent Basics

SorensonVideos

48. Exponent Basics

4 years ago - 9:28

Exponent basics

Mr. Smith's Math

Exponent basics

4 years ago - 4:17

Exponent Basics Explained | Would You Rather Walk the Plank?

A Daily Equation

Exponent Basics Explained | Would You Rather Walk the Plank?

5 months ago - 0:19

Exponent basics

scott willis

Exponent basics

3 years ago - 3:39

9.1: Exponent Basics

Mason Marchand

9.1: Exponent Basics

5 months ago - 20:09

Exponent Basics

Strive Academics

Exponent Basics

7 years ago - 4:27

Exponent Basics Study Guide

MATH MIDDLE SCHOOL MATH-BUSTER GET SUM!

Exponent Basics Study Guide

3 years ago - 5:02

Exponent Basics

iUniversity Prep

Exponent Basics

11 years ago - 2:37

Exponent Unit Section 1 - Exponent Basics

mrironmath

Exponent Unit Section 1 - Exponent Basics

16 years ago - 3:09

Exponent Basics

Mathin and Graphin

Exponent Basics

5 years ago - 7:56

Exponent Basics

Anna Creekmore

Exponent Basics

2 years ago - 15:13

AB Curriculum Tutor - Lesson 4 - Exponent Basics part 1- Gr  7 Math

Inn from the Cold Volunteers

AB Curriculum Tutor - Lesson 4 - Exponent Basics part 1- Gr 7 Math

5 years ago - 10:25

Exponent Basics for Rules (Compacted Math)

April Millen

Exponent Basics for Rules (Compacted Math)

Intro ...

5 years ago - 1:29

Exponent Basics

Meinecke Math

Exponent Basics

4 years ago - 28:39

Rational Exponent Basics

The Math Wiss

Rational Exponent Basics

4 years ago - 2:56

Exponent basics.

David Wolf

Exponent basics.

5 years ago - 4:03

Exponent Basics

Jason Thompson

Exponent Basics

9 years ago - 1:10

Exponent Basics

To the Point

Exponent Basics

3 years ago - 2:05

Exponent Basics

Trooper 314

Exponent Basics

3 years ago - 2:15

EXPONENT Basics - Multiplying Two Same Surds!

Mathsma

EXPONENT Basics - Multiplying Two Same Surds!

2 years ago - 2:18

Exponent Basics

Tori Day

Exponent Basics

9 years ago - 5:05

Exponent Basics

Karen Brown

Exponent Basics

13 years ago - 10:42

Exponent Basics

Robert Uhrich

Exponent Basics

11 years ago - 3:00

Exponent Basics

Mathlovers

Exponent Basics

4 years ago - 6:55

exponent Basics for Middle School

Talking Hands Math

exponent Basics for Middle School

4 years ago - 9:09

Exponent Basics and Order of Operations (8.1 Big Ideas Math - 8th Grade)

Mr. G Math

Exponent Basics and Order of Operations (8.1 Big Ideas Math - 8th Grade)

5 years ago - 14:50

Exponent Basics

Mrs. Rauwolf

Exponent Basics

2 years ago - 9:16

Exponent Basics: What Does n Represent? | Quick Math Quiz | BrainyBuzz Math #mathshorts #mathexam

BrainyBuzz Math

Exponent Basics: What Does n Represent? | Quick Math Quiz | BrainyBuzz Math #mathshorts #mathexam

5 months ago - 0:06

Exponent Basics

Melissa Gallagher

Exponent Basics

10 years ago - 8:58

Exponent Basics.mp4

Casey Jackson

Exponent Basics.mp4

4 years ago - 8:48

Exponent Basics

Jennifer Repp

Exponent Basics

2 years ago - 7:56

Exponent Basics Part 2  Rules

Patrick Jordan

Exponent Basics Part 2 Rules

5 years ago - 6:49

Exponent Basics

Ashley Sovastion

Exponent Basics

5 years ago - 11:07

Exponent Basics Part 1  Terms

Teacher Shared

Exponent Basics Part 1 Terms

5 years ago - 4:07

[Math][Precalculus]-Exponent Basics-Concept Video

The Mad Scientist

[Math][Precalculus]-Exponent Basics-Concept Video

9 years ago - 4:35

exponent basics

Jamalee Desmond

exponent basics

10 years ago - 13:21

exponent basics, includes meaning of squares and cubes

funpamath

exponent basics, includes meaning of squares and cubes

15 years ago - 12:04

✨The 9 Hidden Rules of Indices 😱 #indices #StudyTips #viral

EduMaths Challenge

✨The 9 Hidden Rules of Indices 😱 #indices #StudyTips #viral

3 months ago - 0:06

Exponent Basics

Matthew Gall

Exponent Basics

5 years ago - 7:43

Exponent Basics 1

quabeta

Exponent Basics 1

9 years ago - 0:38

Exponent Basics

Alex Dady

Exponent Basics

Intro ...

5 years ago - 7:13