What is a Variable? | Variables in Math Introduction | Algebra

Math with Mr. J

What is a Variable? | Variables in Math Introduction | Algebra

5 years ago - 3:57

Coding Basics: Variables | Programming for Beginners |

Transcode

Coding Basics: Variables | Programming for Beginners |

5 years ago - 4:45

Variables and Types of Variables | Statistics Tutorial | MarinStatsLectures

MarinStatsLectures-R Programming & Statistics

Variables and Types of Variables | Statistics Tutorial | MarinStatsLectures

6 years ago - 13:13

What are Variables in Statistics?

LearnFree

What are Variables in Statistics?

2 years ago - 2:12

What is a variable? | Introduction to algebra | Algebra I | Khan Academy

Khan Academy

What is a variable? | Introduction to algebra | Algebra I | Khan Academy

13 years ago - 3:18

Python variables for beginners ❎

Bro Code

Python variables for beginners ❎

3 years ago - 13:31

Variable

Variable

@Variable2k subscribers

Variables | Coding & Computer Science Song

Scratch Garden

Variables | Coding & Computer Science Song

4 years ago - 3:38

Variables in Science: Independent, Dependent and Controlled!

BioMan Biology

Variables in Science: Independent, Dependent and Controlled!

5 years ago - 3:41

Research Variables 101: Dependent, Independent, Control Variables & More (With Examples)

Grad Coach

Research Variables 101: Dependent, Independent, Control Variables & More (With Examples)

2 years ago - 11:37

Independent, Dependent and Controlled Variables

Science Ready

Independent, Dependent and Controlled Variables

2 years ago - 6:43

Independent,Dependent, and Control Variables

MooMooMath and Science

Independent,Dependent, and Control Variables

2 years ago - 1:43

Variables, Expressions, and Equations | Math with Mr. J

Math with Mr. J

Variables, Expressions, and Equations | Math with Mr. J

5 years ago - 4:13

Identify Variables in a Scientific Investigation

MooMooMath and Science

Identify Variables in a Scientific Investigation

2 years ago - 4:04

The size of your variables matters.

Core Dumped

The size of your variables matters.

2 years ago - 11:03

What Are Independent, Dependent And Controlled Variables?

HighSchoolScience101

What Are Independent, Dependent And Controlled Variables?

8 years ago - 3:16

Figma tutorial: Intro to variables

Figma

Figma tutorial: Intro to variables

2 years ago - 14:51

What is a Variable? | Programming Basics

Coding with Estefania

What is a Variable? | Programming Basics

2 years ago - 4:08

What's a Variable?

VirtualNerd

What's a Variable?

16 years ago - 1:41

Variable in research | Types of variables in research

Philo-Politico

Variable in research | Types of variables in research

1 year ago - 12:58

Types of Variables - Numerical vs. Categorical - Discrete vs. Continuous - Ordinal vs. Nominal

Medicosis Perfectionalis

Types of Variables - Numerical vs. Categorical - Discrete vs. Continuous - Ordinal vs. Nominal

1 year ago - 11:44

Independent vs Dependent Variables (Explained in 3 Minutes)

Helpful Professor Explains!

Independent vs Dependent Variables (Explained in 3 Minutes)

1 year ago - 2:50

Introduction to Variables

Neso Academy

Introduction to Variables

7 years ago - 8:24

Instrumental Variables - an introduction

Ben Lambert

Instrumental Variables - an introduction

12 years ago - 13:35

Python - Variables - W3Schools.com

w3schools.com

Python - Variables - W3Schools.com

1 year ago - 2:11

Introduction to Instrumental Variables (IV)

Marginal Revolution University

Introduction to Instrumental Variables (IV)

4 years ago - 12:57

Java - Variables - W3Schools.com

w3schools.com

Java - Variables - W3Schools.com

1 year ago - 4:55

Variable is my favorite anti-tank primary #helldivers #helldivers2 #propagandacommander

Wallbouncing

Variable is my favorite anti-tank primary #helldivers #helldivers2 #propagandacommander

3 months ago - 0:50

Independent vs  Dependent Variable

Nucleus Medical Media

Independent vs Dependent Variable

4 years ago - 3:38

An Intro to Solving Equations with Variables on Both Sides | Multi-Step Equations | Math with Mr. J

Math with Mr. J

An Intro to Solving Equations with Variables on Both Sides | Multi-Step Equations | Math with Mr. J

1 year ago - 8:58

What is a Variable?

The Organic Chemistry Tutor

What is a Variable?

10 months ago - 2:08

SG-70 Variable is STRONGER Than You're Being Told | Helldivers 2

OhDough

SG-70 Variable is STRONGER Than You're Being Told | Helldivers 2

6 months ago - 8:39

Independent and Dependent Variables

Psych Explained

Independent and Dependent Variables

4 years ago - 8:37

Introduction to Algebra: Using Variables

Professor Dave Explains

Introduction to Algebra: Using Variables

8 years ago - 4:04

The Highest Skill-Cap Primary

CommissarKai

The Highest Skill-Cap Primary

6 months ago - 12:28

Can You Find The Hidden Variable?

Action Lab Shorts

Can You Find The Hidden Variable?

3 years ago - 1:00

Co-efficient, Variable and Constant #co-efficient #variable #constant #viral #shorts #trending

Umair Jahangir Chaudhary

Co-efficient, Variable and Constant #co-efficient #variable #constant #viral #shorts #trending

2 years ago - 0:15

Power Apps Variables - All 5 Types

Shane Young

Power Apps Variables - All 5 Types

1 year ago - 30:11

Types of variables in research

Simple Nursing Lectures

Types of variables in research

1 year ago - 18:10

Hidden Variables—How We Know They Don't Exist In Quantum Mechanics

The Action Lab

Hidden Variables—How We Know They Don't Exist In Quantum Mechanics

5 years ago - 13:34

JavaScript - Variables - W3Schools.com

w3schools.com

JavaScript - Variables - W3Schools.com

11 months ago - 3:39

Confounding Variables: Definition & Examples (3 Minute Explanation)

Helpful Professor Explains!

Confounding Variables: Definition & Examples (3 Minute Explanation)

1 year ago - 2:51

Python - Global Variables - W3Schools.com

w3schools.com

Python - Global Variables - W3Schools.com

1 year ago - 2:18

Figma Variables Masterclass 2025 - Complete Tutorial

Average Design Dude

Figma Variables Masterclass 2025 - Complete Tutorial

9 months ago - 1:15:24

What are Figma Variables?

The Cutting Edge School

What are Figma Variables?

2 years ago - 1:00:18

Python Variables - Visually Explained

Visually Explained

Python Variables - Visually Explained

1 year ago - 3:56

Figma Tutorial: Use Figma Variables Like a Pro (+ Practice File)

DesignWithArash

Figma Tutorial: Use Figma Variables Like a Pro (+ Practice File)

2 years ago - 30:30

Variables, Constants, and Controls | Short Cuts Ep. 6

eCYBERMISSIONTeam

Variables, Constants, and Controls | Short Cuts Ep. 6

3 years ago - 1:24

Spelling Numbers with Variables

TheGrayCuber

Spelling Numbers with Variables

2 years ago - 13:05

Random variables | Probability and Statistics | Khan Academy

Khan Academy

Random variables | Probability and Statistics | Khan Academy

13 years ago - 5:32

Master Figma variables in 7 minutes

Flux Academy

Master Figma variables in 7 minutes

2 years ago - 7:13

Python - Variable Names - W3Schools.com

w3schools.com

Python - Variable Names - W3Schools.com

1 year ago - 2:36

MAXIMIZE Your Effective Range With Variable Scout Scopes!

On The Scout

MAXIMIZE Your Effective Range With Variable Scout Scopes!

3 days ago - 12:55

Design System & Figma Variable Set Up - Full Tutorial

UI Collective

Design System & Figma Variable Set Up - Full Tutorial

5 months ago - 2:03:48

Learn VARIABLE SCOPE in 4 minutes! 🏠

Bro Code

Learn VARIABLE SCOPE in 4 minutes! 🏠

1 year ago - 4:59

Yungeen Ace - Variable Star (Official Music Video)

Yungeen Ace

Yungeen Ace - Variable Star (Official Music Video)

2 years ago - 2:01

Random Variables and Probability Distributions

Dr Nic's Maths and Stats

Random Variables and Probability Distributions

11 years ago - 4:38

Variable Or Fixed?

Angry Mortgage Podcast

Variable Or Fixed?

4 months ago - 7:53

How to Isolate a Variable

Howcast

How to Isolate a Variable

15 years ago - 2:03

Control and Variable Groups

learnbiologically

Control and Variable Groups

14 years ago - 2:18

What is a Random Variable?

Iain Explains Signals, Systems, and Digital Comms

What is a Random Variable?

5 years ago - 11:58

Solving for a variable | Linear equations | Algebra I | Khan Academy

Khan Academy

Solving for a variable | Linear equations | Algebra I | Khan Academy

14 years ago - 1:24

Bernoulli and Binomial Random Variables

Steve Brunton

Bernoulli and Binomial Random Variables

11 months ago - 24:41

Learn JavaScript VARIABLE SCOPE in 5 minutes! 🏠

Bro Code

Learn JavaScript VARIABLE SCOPE in 5 minutes! 🏠

2 years ago - 5:26

Tory Lanez - Variables (Lost Tapes 2022)

Tory Lanez

Tory Lanez - Variables (Lost Tapes 2022)

1 month ago - 2:34

Omitted variable bias - example 1

Ben Lambert

Omitted variable bias - example 1

12 years ago - 4:47

How do you solve a literal equation with all variables

Brian McLogan

How do you solve a literal equation with all variables

11 years ago - 1:59

Master Figma Variables: From Prototyping to Design Systems

UI Collective

Master Figma Variables: From Prototyping to Design Systems

2 months ago - 1:36:30

Variable Frequency Drives Explained - VFD Basics IGBT inverter

The Engineering Mindset

Variable Frequency Drives Explained - VFD Basics IGBT inverter

5 years ago - 15:18

Car Tech 101: Variable valve timing explained

CNET

Car Tech 101: Variable valve timing explained

11 years ago - 3:53

| Understanding point of this | Preset Variable Resistor |#tech#electronics#resistor#variable

Fusonyx

| Understanding point of this | Preset Variable Resistor |#tech#electronics#resistor#variable

4 months ago - 0:26

Creating and using variable in Python

Funy Coder

Creating and using variable in Python

6 years ago - 0:26

Spelling Numbers with Variables

TheGrayCuber

Spelling Numbers with Variables

2 years ago - 13:05

Difference between Constant and Variable #education #exam #study #constant #variables

Computer Mentor

Difference between Constant and Variable #education #exam #study #constant #variables

1 year ago - 0:16

Quick tips for creating variables in #figma #shorts

Figma

Quick tips for creating variables in #figma #shorts

1 year ago - 0:46

How to convert a text variable into a number in Excel

Inspired Analyst

How to convert a text variable into a number in Excel

5 years ago - 0:42

Swapping Variables Made Easy with Cups! | Python for Beginners  #shorts #coding #tech

Error Makes Clever

Swapping Variables Made Easy with Cups! | Python for Beginners #shorts #coding #tech

8 months ago - 1:22

Types of Variables in Research | UGC NET Paper 1 June 2025 | 10 Min Recharge | Gulshan Ma'am

PW UGC NET

Types of Variables in Research | UGC NET Paper 1 June 2025 | 10 Min Recharge | Gulshan Ma'am

9 months ago - 17:41

How to Replace variable valve timing solenoid easy way #variable #timing #shorts

Abdullah auto electrician

How to Replace variable valve timing solenoid easy way #variable #timing #shorts

1 year ago - 0:12

Independent vs. Dependent Variables #Shorts #math #education

markiedoesmath

Independent vs. Dependent Variables #Shorts #math #education

2 years ago - 0:29

Solving a Formula For a Variable

The Organic Chemistry Tutor

Solving a Formula For a Variable

7 years ago - 15:24

Python Program to Swap Two Variables

PROGRAMMING WITH SAYAN

Python Program to Swap Two Variables

2 years ago - 0:15

Bernoulli and Binomial Random Variables

Steve Brunton

Bernoulli and Binomial Random Variables

11 months ago - 24:41

Car Tech 101: Variable valve timing explained

CNET

Car Tech 101: Variable valve timing explained

11 years ago - 3:53

Learn JavaScript VARIABLE SCOPE in 5 minutes! 🏠

Bro Code

Learn JavaScript VARIABLE SCOPE in 5 minutes! 🏠

2 years ago - 5:26

Zero Ragdoll & Damage if you do this with the Variable Gun in Helldivers 2

RebelS

Zero Ragdoll & Damage if you do this with the Variable Gun in Helldivers 2

6 months ago - 0:29

Constant #Variable#Co_efficient # operation # Math with Atifa

Math with Atifa

Constant #Variable#Co_efficient # operation # Math with Atifa

2 years ago - 0:27

How do you solve a literal equation with all variables

Brian McLogan

How do you solve a literal equation with all variables

11 years ago - 1:59

Master Figma Variables: From Prototyping to Design Systems

UI Collective

Master Figma Variables: From Prototyping to Design Systems

2 months ago - 1:36:30

Local and global variable | Python Interview Question | #pythontutorial #interview #variables

Learn Technology

Local and global variable | Python Interview Question | #pythontutorial #interview #variables

2 years ago - 0:15

Variable Frequency Drives Explained - VFD Basics IGBT inverter

The Engineering Mindset

Variable Frequency Drives Explained - VFD Basics IGBT inverter

5 years ago - 15:18

Variable Or Fixed?

Angry Mortgage Podcast

Variable Or Fixed?

4 months ago - 7:53

How to open variable valve timing solenoid #shortvideo

Abdullah auto electrical

How to open variable valve timing solenoid #shortvideo

6 months ago - 0:14

MA26 – Variable vs Absorption Costing Explained (Beginner’s Intro)

Tony Bell

MA26 – Variable vs Absorption Costing Explained (Beginner’s Intro)

4 months ago - 4:52

Solving Linear Equation in One Variable #math #mathematics #equation #linearequations #mathtricks

MATH TEACHER GON

Solving Linear Equation in One Variable #math #mathematics #equation #linearequations #mathtricks

3 years ago - 0:57

Introduction to Variables in Java

Neso Academy

Introduction to Variables in Java

6 years ago - 8:53

Tutorial 3-What Are Variables And Its Types?

Krish Naik Hindi

Tutorial 3-What Are Variables And Its Types?

3 years ago - 9:05

Stock Vs Flow variables 📝

Economics(Study materials)

Stock Vs Flow variables 📝

2 years ago - 0:17

Python - Output Variables with print() - W3Schools.com

w3schools.com

Python - Output Variables with print() - W3Schools.com

1 year ago - 1:29

Amazingly variable fruit color #shorts by Hana 7

Xuan Dong Short

Amazingly variable fruit color #shorts by Hana 7

1 year ago - 0:10

How to make a variable change when you click on it in Scratch

Scratch with duck dude

How to make a variable change when you click on it in Scratch

2 years ago - 0:37

Topic - variable valency

Abhi Study Group

Topic - variable valency

3 years ago - 0:05

How to Isolate the Variable!

Number Nerd

How to Isolate the Variable!

11 months ago - 0:54

Variables in Python #pythontutorial #variable #shorts

Learn Technology

Variables in Python #pythontutorial #variable #shorts

2 years ago - 0:15

Python Variables & Data Types - The Building Blocks of Code

Python Simplified

Python Variables & Data Types - The Building Blocks of Code

7 months ago - 8:12

Pointers in C Programming | Pointer Variable in C

GateQ

Pointers in C Programming | Pointer Variable in C

2 years ago - 0:58

GCSE Science Revision "Independent Variable, Dependent Variable, Control Variables"

Freesciencelessons

GCSE Science Revision "Independent Variable, Dependent Variable, Control Variables"

2 years ago - 4:48

After Effects 2026: NEW Variable Fonts Make Text Reveals Stupidly Easy  | Tutorial

Michael Ponch

After Effects 2026: NEW Variable Fonts Make Text Reveals Stupidly Easy | Tutorial

1 month ago - 7:36

Graph of linear equation in two variables X+2Y=6

MyBestSubject

Graph of linear equation in two variables X+2Y=6

1 year ago - 0:16

#10 Java Variables || Local, Instance and Static Variables in Java Programming

Smart Programming

#10 Java Variables || Local, Instance and Static Variables in Java Programming

1 year ago - 24:10

Easiest way to control led brightness with variable resistor #rheostat #resistance  #potentiometer

Miraculous Vigyan

Easiest way to control led brightness with variable resistor #rheostat #resistance #potentiometer

1 year ago - 0:33

Mean and variance of a random variable

Mathematics Hub

Mean and variance of a random variable

2 years ago - 0:05

What are Dummy Variables in Regression?

numiqo

What are Dummy Variables in Regression?

11 months ago - 5:23

C_08 Variables in C Programming | C Programming Tutorials

Jenny's Lectures CS IT

C_08 Variables in C Programming | C Programming Tutorials

5 years ago - 14:56

C Variables | What is Variable? Full Explanation | Learn Coding

Learn Coding

C Variables | What is Variable? Full Explanation | Learn Coding

1 month ago - 24:22

Lec 1 | MIT 18.01 Single Variable Calculus, Fall 2007

MIT OpenCourseWare

Lec 1 | MIT 18.01 Single Variable Calculus, Fall 2007

16 years ago - 51:33

Variable Layer Height for Smoother Lines

Saucermen Studios

Variable Layer Height for Smoother Lines

8 months ago - 0:26

Variable Resistor | Showrob Electronics Project | 2023

Showrob Electronics Project

Variable Resistor | Showrob Electronics Project | 2023

2 years ago - 0:09

Concept Vs Variable | Research methodology| Research Aptitude Paper 1 UGC NET

Learning Mantra vb

Concept Vs Variable | Research methodology| Research Aptitude Paper 1 UGC NET

2 years ago - 0:36

Linear Equation In One Variable | Class 8 Maths Q1 Ex 2.1

Mann Ki Ganit

Linear Equation In One Variable | Class 8 Maths Q1 Ex 2.1

2 years ago - 0:14

1 way to arrange my variables in Figma

Godwin John

1 way to arrange my variables in Figma

2 years ago - 0:36

Difference between Independent variable and Dependent variable

Learn Psychology With Neha

Difference between Independent variable and Dependent variable

2 years ago - 0:58

Variables In GDevelop Expanded - Structures And Arrays

GDevelop

Variables In GDevelop Expanded - Structures And Arrays

1 year ago - 10:08

variable in python | Python in Telugu | Python Tutorials in Telugu | Python Variables

PythonLife

variable in python | Python in Telugu | Python Tutorials in Telugu | Python Variables

2 years ago - 15:50

LabVIEW in English_Shared Variable Creation

Industrial Automation

LabVIEW in English_Shared Variable Creation

6 months ago - 5:06

Variable Presentation In Pregnancy Ultrasound | How To Read Pregnancy Usg

Gyanear

Variable Presentation In Pregnancy Ultrasound | How To Read Pregnancy Usg

2 years ago - 5:11

Types of Variables in Statistics

DS, ML & AI with Kanchan

Types of Variables in Statistics

5 years ago - 5:33

CSS Variables | Custom Properties Tutorial for beginners

Coding2GO

CSS Variables | Custom Properties Tutorial for beginners

2 years ago - 2:13

Learn variable scope in 5 minutes! 🏠

Bro Code

Learn variable scope in 5 minutes! 🏠

9 months ago - 5:22

Linear Equation - 2 Variables Solutions (3rd)Third Quarter Grade 8 Matatag Revised K-12 Tagalog Math

Math Isip

Linear Equation - 2 Variables Solutions (3rd)Third Quarter Grade 8 Matatag Revised K-12 Tagalog Math

2 months ago - 16:57

Variable Speed Air Conditioner Pros & Cons

Monkey Wrench Plumbing, Heating, Air & Electric

Variable Speed Air Conditioner Pros & Cons

1 year ago - 4:33

New Variable-Speed explained by Carrier Product Expert!

Atlas AC

New Variable-Speed explained by Carrier Product Expert!

10 months ago - 4:42

Make.com Variables Explained (And Mistakes to Avoid!)

Deep Dive with The AI Automators

Make.com Variables Explained (And Mistakes to Avoid!)

11 months ago - 12:40

Math 8 Quarter 3 Week 1 - Linear Equations in One Variable (K to 10 Curriculum)

Love, Teacher Ana

Math 8 Quarter 3 Week 1 - Linear Equations in One Variable (K to 10 Curriculum)

3 months ago - 9:15

Chapter 01 - Python Variables & Fundamentals | Python Full Course 2026 | Saumya Singh

Saumya Singh

Chapter 01 - Python Variables & Fundamentals | Python Full Course 2026 | Saumya Singh

2 months ago - 42:51

Vulnerable - Roxette (Lyrics Video)

Rodolfo Albaytar

Vulnerable - Roxette (Lyrics Video)

4 years ago - 4:26

Yeeps | How to add Multiple Numbers to the NEW Variable Blocks!

Aldertine

Yeeps | How to add Multiple Numbers to the NEW Variable Blocks!

2 months ago - 21:04

How to Solve Inequalities with Variables on Both Sides | Math with Mr. J

Math with Mr. J

How to Solve Inequalities with Variables on Both Sides | Math with Mr. J

1 year ago - 7:54

Computer Basics 19: How Variables work in Code

freeCodeCamp.org

Computer Basics 19: How Variables work in Code

10 years ago - 2:13

Python Tutorial for Absolute Beginners #1 - What Are Variables?

CS Dojo

Python Tutorial for Absolute Beginners #1 - What Are Variables?

8 years ago - 24:38

CS50P - Lecture 0 - Functions, Variables

CS50

CS50P - Lecture 0 - Functions, Variables

3 years ago - 1:45:38

Cost Behavior: Fixed, Variable and Semi-Variable Costs for Budgeting

Corporate Finance Institute

Cost Behavior: Fixed, Variable and Semi-Variable Costs for Budgeting

7 years ago - 2:35

Dependent Variable | Types of Variables in Research

Thecurlygirl

Dependent Variable | Types of Variables in Research

2 years ago - 0:51

Simplifying Radicals With Variables, Exponents, Fractions, Cube Roots - Algebra

The Organic Chemistry Tutor

Simplifying Radicals With Variables, Exponents, Fractions, Cube Roots - Algebra

9 years ago - 11:52

Define Variable and coefficient #shorts

Maths with Rizwa

Define Variable and coefficient #shorts

2 years ago - 0:54

Difference between Local Variable & Global Variable | Local Variable | Global Variable | #shorts

Quick Learning

Difference between Local Variable & Global Variable | Local Variable | Global Variable | #shorts

3 years ago - 0:23

2 equations Vs 3 Variables | BGT | HACK of CAT 🔥 #MBAWallah

MBA Wallah

2 equations Vs 3 Variables | BGT | HACK of CAT 🔥 #MBAWallah

2 years ago - 1:00

What is Variable in Java? #variable #java

Learn Technology

What is Variable in Java? #variable #java

2 years ago - 0:12

What are coefficient Variables and constant #shorts #short #youtubeshorts #viral

Shreya The Education Hub

What are coefficient Variables and constant #shorts #short #youtubeshorts #viral

2 years ago - 0:49

Random Variables and Probability Distributions

Steve Brunton

Random Variables and Probability Distributions

11 months ago - 21:56

Variables - Roblox Beginners Scripting Tutorial #4 (2025)

BrawlDev

Variables - Roblox Beginners Scripting Tutorial #4 (2025)

1 year ago - 9:38

What Are Variables and Lists in Scratch? (Part 1)| Tutorial

Scratch Team

What Are Variables and Lists in Scratch? (Part 1)| Tutorial

1 year ago - 5:07

Sensitivity analysis with 2 input variables in real estate

Real Estate Shorts

Sensitivity analysis with 2 input variables in real estate

1 year ago - 0:49

Random variable

Mathematics Hub

Random variable

2 years ago - 0:05

Variable Declaration in C language

FliQi Skills

Variable Declaration in C language

2 years ago - 0:34

Astronomy - Ch. 24: Variable Stars (9 of 26) Cepheid Variables: Why Do They Vary?

Michel van Biezen

Astronomy - Ch. 24: Variable Stars (9 of 26) Cepheid Variables: Why Do They Vary?

5 years ago - 5:05

Series 6 Exam Prep: Variable Annuities

Ken Finnen: Cap Advantage Tutoring(Series 7 Exam)

Series 6 Exam Prep: Variable Annuities

3 years ago - 22:12

The Variable

The Variable

The Variable is a design channel focused on helping creatives large and small to grow in their respective field through connection ...

@TheVariableDesign subscribers

Variable Nozzle Mechanism

Versatile Vistas

Variable Nozzle Mechanism

1 year ago - 0:11

VARIABLE AIRFOILS: How does it actually work?

Engineering and scienceTrivia

VARIABLE AIRFOILS: How does it actually work?

9 months ago - 0:23

Multi-Brand Design System and Figma Variable Setup | Full Tutorial

UI Collective

Multi-Brand Design System and Figma Variable Setup | Full Tutorial

3 months ago - 1:01:09

6. Types of Variables | UGC-NET Paper 1 | Bharat Kumar

Kumar Bharat - UGC-NET

6. Types of Variables | UGC-NET Paper 1 | Bharat Kumar

2 years ago - 32:07

Function of a Real Variable: (First Live Class) - General Mathematics 2

GER Hub

Function of a Real Variable: (First Live Class) - General Mathematics 2

Streamed 3 years ago - 39:35

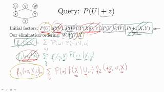
Variable Elimination

Pieter Abbeel

Variable Elimination

13 years ago - 14:50

Linear Equations in Two Variables Class 10 One Shot | Maths 1 Chapter 7 Class 10 MH Board 2025-26

Vedantu Maharashtra 9 & 10

Linear Equations in Two Variables Class 10 One Shot | Maths 1 Chapter 7 Class 10 MH Board 2025-26

Streamed 1 month ago - 2:04:14

23. DEPENDENT & INDEPENDENT VARIABLES in Experimental Research | Explained with Interesting Examples

Rishu Udit

23. DEPENDENT & INDEPENDENT VARIABLES in Experimental Research | Explained with Interesting Examples

2 years ago - 2:45

Introduction to solving an equation with variables on both sides | Algebra I | Khan Academy

Khan Academy

Introduction to solving an equation with variables on both sides | Algebra I | Khan Academy

15 years ago - 8:53

Lecture3 Variables, Types of Variables, Data, Types of Data

Concepts of Statistics

Lecture3 Variables, Types of Variables, Data, Types of Data

4 years ago - 5:13

Solving Systems of Equations By Elimination & Substitution With 2 Variables

The Organic Chemistry Tutor

Solving Systems of Equations By Elimination & Substitution With 2 Variables

8 years ago - 10:27

2.2.1 Variables and Constants  - Revise GCSE Computer Science

Revise Computer Science

2.2.1 Variables and Constants - Revise GCSE Computer Science

4 years ago - 6:23

Variable view in VS-Code

Radiant

Variable view in VS-Code

2 years ago - 5:21

Variable Types: Everything You Need to Know

datistique

Variable Types: Everything You Need to Know

8 years ago - 11:34

Law of Variable Proportions by Vidhi Kalra

5 Minute Economics

Law of Variable Proportions by Vidhi Kalra

5 years ago - 8:10

Dummy Variable in Regression Model –Meaning, Exp, Creation of DV in various Categories, Econometrics

Mini Sethi

Dummy Variable in Regression Model –Meaning, Exp, Creation of DV in various Categories, Econometrics

4 months ago - 6:22

The variables song!

Hillary Thee Sanchez

The variables song!

5 months ago - 2:49

What is Mediating Variable and Moderating Variable?

Management Tutorials

What is Mediating Variable and Moderating Variable?

2 years ago - 3:54

CMS Update: Index Variable

Framer

CMS Update: Index Variable

9 months ago - 5:47

Writing Algebraic Expressions | Writing Expressions with Variables | Math with Mr. J

Math with Mr. J

Writing Algebraic Expressions | Writing Expressions with Variables | Math with Mr. J

4 years ago - 12:52

What is Variable Presentation | Learn to read FWB Ultrasound Report | Pregnancy Report 19 Weeks

USG Report

What is Variable Presentation | Learn to read FWB Ultrasound Report | Pregnancy Report 19 Weeks

2 months ago - 5:05

Difference between Variable and Constant

Aashay Mane

Difference between Variable and Constant

4 years ago - 0:42

How To Graph Linear Inequalities In Two Variables - Basic Introduction, Algebra

The Organic Chemistry Tutor

How To Graph Linear Inequalities In Two Variables - Basic Introduction, Algebra

8 years ago - 7:05

Postman Tutorial #10 -Variables in Postman | Variable Scope in Postman

Software Testing Mentor

Postman Tutorial #10 -Variables in Postman | Variable Scope in Postman

2 years ago - 12:35